参考资料
平衡阀使用简要
平衡阀使用简要
我司强烈建议平衡阀在装入系统之前按系统需要设定好压力,且最好由我司在产品出厂前根据客户要求设定压力。一方面装入系统的平衡阀难以精确设定压力,给操作带来困难;另一方面装入系统的平衡阀①口常会伴有负载存在,过大的负载压力会给调压人员的操作带来困难,甚至会造成调压零件的损坏。平衡阀调压方法:内六角一端正对视线,顺时针旋转为右旋,右旋调压杆降低负载设定压力;逆时针旋转为左旋,左旋调压杆增加负载设定压力。
1 出厂前平衡阀压力设定标准( 以LCBEA-LHN 平衡阀为例):
平衡阀出厂时设定压力为①口负载开启压力( 以负载开启压力为210bar 为例)。
1.1 安装测试油路,以标准扭矩将平衡阀装入系统,初始设定将调压杆右旋到底,使设定压力达到最小值,负载低压通油测试;
1.2 无负载情况下,左旋调压杆至31/4 圈,锁紧调压螺母,然后缓慢增加负载,此时设定压力应为210bar( 如果设定压力有偏差,应在无负载情况下以相同操作微调至标准设定压力);
1.3 注意事项:
1.3.1 组装工作台测试所需液压系统回路时要确保安全后再装阀测试;
1.3.2 调压前必须松开调压锁紧螺母,旋转调节杆设定压力必须在无负载情况下进行;
1.3.3 调压杆右旋为减压,左旋为增压;
1.3.4 高压调试之前最好低压通油一次;
1.3.5 锁紧调压螺母后请勿再转动调压杆;
1.3.6 调压设定参照平衡阀压力设定附表( 见附表),如有偏差以实际设定为准;
1.3.7 平衡阀安装扭矩必须符合标准规范( 详见技术资料);
1.3.8 平衡阀的最大设定压力应为最大负载感应压力的1.3 倍。设定压力不能过高,否则会增加液控口的背压,产生节流使油缸下降缓慢。
2 强行装入系统调定压力
如若在特别情况下,不得不在装入系统后再次设定,以下为建议方法:
2.1 强行装入系统调压
2.1.1 必须遵守系统操作的相关要求,确保整个设备系统在控制之内,不会因设备运动造成任何的毁坏或伤害;
2.1.2 应特别注意因压力重新设定后引起的设备运动位置的变化;特别注意增加设定压力的旋转方向为左旋;
2.1.3 系统中如若没有压力显示设备,请于方便处安装以便调试和观测记录;
2.1.4 因平衡阀的最大设定压力应为最大负载感应压力的1.3 倍,故在测出平衡阀所支撑执行设备的最大负载后要扩大1.3 倍,所得的压力值才为平衡阀的设定压力值;
2.1.5 必须在平衡阀支撑的执行器上设定压力,若此执行器引起角位移,则需其在最大负载位置以最小流量缓慢增加负载,增加负载时观测压力表,记录得到的最大值;
2.1.6 请从出厂前平衡阀设定的标准压力开始,将观测到的负载压力扩大1.3 倍,然后通过顺﹑逆的旋转来调整压力至计算出来的压力值,旋转圈数参照附表,计算值大于出厂标准压力值则逆时针旋转,小于则顺时针旋转。( 注意:阀的最终设定压力将不可能在压力表上观测到,因为其会高于最高负载的诱导压力。)
2.1.7 在旋转圈数计算时,所选附表参数以试验均值为主要依据,理论值为附属参考。
2.1.8 若被设定阀已被顺时针旋到底,则在调压前增加一个逆时针全旋转。
注意事项:测得执行器最大负载后,将系统压力降为常压后再重新设定平衡阀的压力,不要在伴随系统负载高压下设定压力;在使用内六角扳手旋转调节杆时,务必将扳手插到内六角底端,旋不动时,请勿强行施加扭力矩,以免损坏调压零部件。
2.2 设定过程示例:
以LCBEA-LHN 为例,设定范围70 ~ 280bar,出厂设定210bar;
2.2.1 假设测得的最大压力为120bar,将负载乘以1.3(120bar×1.3=156bar), 得平衡阀建议设定压力为156bar。
2.2.2 查表得LCBEA-LHN 的每圈调压量为93bar,用设定压力值减去出厂设定标准压力后除以每圈的调压量,得出的为正值则逆时针旋转,得出的为负值则顺时针旋转,旋转圈数计算如下:
(156-210)/93=-0.58( 顺时针)
根据以上计算为负值,应顺时针近似旋转3/5 圈。
3 液控开启压力计算
平衡阀的工作包括③口液控部分和①口溢流部分,液控部分和溢流部分的面积比为液控比。液压油从①口反向流回②口时被单向阀锁住,当液控口有与①口负载成反比的作用力时单向阀开启,油流回②口。③口液控压力有效的降低了阀的设定压力,此可根据控制活塞上液控面积和溢流面积的比较分析得出。例如:一个阀的液控比为3:1,设定压力为3000psi,负载压力为2000psi,则需要打开溢流阀的液控压力为333psi,
即(3000psi-2000psi)/3=333psi。
液控比计算方法如下:
为便于阐述,以上参数设定如下:S = 为阀的设定压力
L = 为负载压力
PR = 为液控比( 比数为1,例如3:1 则PR = 3)
CR = 为液压缸面积比( 无杆腔/ 有杆腔)
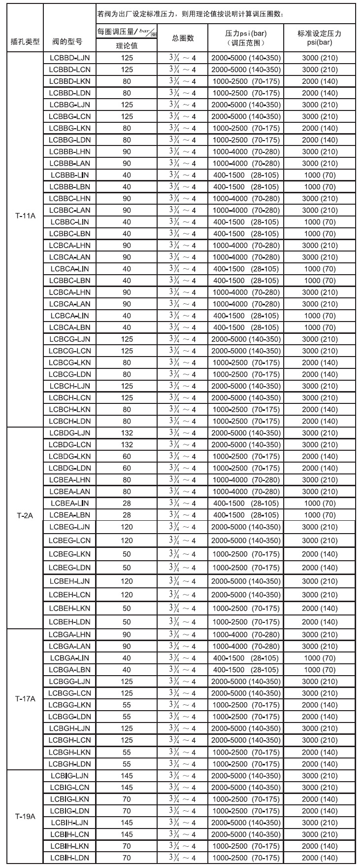
平衡阀压力设定附表:
注意:以上表格中没有的以相近的型号参数为参考依据。








